


- A.见图A
- B.见图B
- C.见图C
- D.见图D
正确答案及解析
正确答案
C
解析
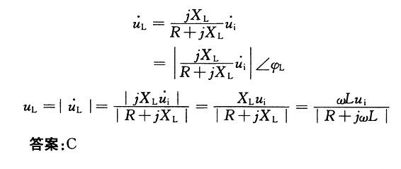
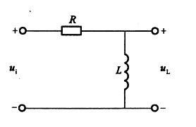
解该题可以用复数符号法分析,画出电路的复电路模型如解图所示,计算如下。

你可能感兴趣的试题

-
- A.<img src='http://tp.mxqe.com/data/736/13573975_0_1.jpg' alt='基础知识,章节练习,强化,化学' title='基础知识,章节练习,强化,化学'>
- B.<img src='http://tp.mxqe.com/data/736/13573975_0_2.jpg' alt='基础知识,章节练习,强化,化学' title='基础知识,章节练习,强化,化学'>
- C.<img src='http://tp.mxqe.com/data/736/13573975_0_3.jpg' alt='基础知识,章节练习,强化,化学' title='基础知识,章节练习,强化,化学'>
- D.<img src='http://tp.mxqe.com/data/736/13573975_0_4.jpg' alt='基础知识,章节练习,强化,化学' title='基础知识,章节练习,强化,化学'>
- 查看答案

-
- A.溶液的pH值降低
- B.Ka,HAc增加
- C.溶液的pH值升高
- D.Ka,HAc减小
- 查看答案

-
- A.2.38
- B.5.06
- C.4.75
- D.5.25
- 查看答案

-
- A.都相同
- B.加蔗糖的低
- C.加乙二酸的低
- D.无法判断
- 查看答案

-
- A.变大
- B.变小
- C.不变
- D.不能确定
- 查看答案