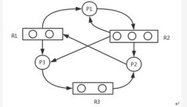
在如下所示进程资源图中, ( ) ;该进程资源图是 (请作答此空) 。

- A.可以化简,其化简顺序为P1→P2→P3
- B.可以化简,其化简顺序为P3→P1→P2
- C.可以化简,其化简顺序为P2→P1→P3
- D.不可以化简,因为P1、P2、P3申请资源都不能得到满足
正确答案及解析
正确答案
B
解析
R1已经全部分配给P1和P3,所以P2再请求一个R1时候,将进入阻塞状态。同理,R2已经全部分配给P1、P2和P3,当P1再请求一个R2时,将陷入阻塞。R3还有一个未用资源,当P3申请时,可以顺利获得,故不会阻塞。
因为P3非阻塞且非孤立,所以可以化简。将其所用资源归还资源图后,P1获得R2,即可运行,然后也可以化简,最后P2可以运行。
你可能感兴趣的试题

-
- A.V(S2)和P(S4)
- B.P(S2)和V(S4)
- C.P(S2)和P(S4)
- D.V(S2)和V(S4)
- 查看答案

-
- A.V(S1)P(S2)和V(S3)
- B.P(S1)V(S2)和V(S3)
- C.V(S1)V(S2)和V(S3)
- D.P(S1)P(S2)和V(S3)
- 查看答案

-
- A.P(S4)和V(S4)V(S5)
- B.V(S5)和P(S4)P(S5)
- C.V(S3)和V(S4)V(S5)
- D.P(S3)和P(S4)V(P5)
- 查看答案

-
- A.P(S3)和V(S4)V(S5)
- B.V(S3)和P(S4)P(S5)
- C.P(S3)和P(S4)P(S5)
- D.V(S3)和V(S4)V(S5)
- 查看答案

-
- A.P(S2)和P(S4)
- B.P(S2)和V(S4)
- C.V(S2)和P(S4)
- D.V(S2)和V(S4)
- 查看答案