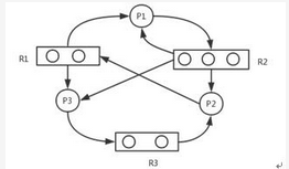
在如下所示进程资源图中, (请作答此空) ;该进程资源图是 ( ) 。

- A.P1、P2、P3都是阻塞节点
- B.P1是阻塞节点,P2、P3是非阻塞节点
- C.P1、P2是阻塞节点,P3是非阻塞节点
- D.P1、P2是非阻塞节点,P3是阻塞节点
正确答案及解析
正确答案
C
解析
R1已经全部分配给P1和P3,所以P2再请求一个R1时候,将进入阻塞状态。同理,R2已经全部分配给P1、P2和P3,当P1再请求一个R2时,将陷入阻塞。R3还有一个未用资源,当P3申请时,可以顺利获得,故不会阻塞。
因为P3非阻塞且非孤立,所以可以化简。将其所用资源归还资源图后,P1获得R2,即可运行,然后也可以化简,最后P2可以运行。
你可能感兴趣的试题

-
- A.V(S2)和P(S4)
- B.P(S2)和V(S4)
- C.P(S2)和P(S4)
- D.V(S2)和V(S4)
- 查看答案

-
- A.V(S1)P(S2)和V(S3)
- B.P(S1)V(S2)和V(S3)
- C.V(S1)V(S2)和V(S3)
- D.P(S1)P(S2)和V(S3)
- 查看答案

-
- A.P(S4)和V(S4)V(S5)
- B.V(S5)和P(S4)P(S5)
- C.V(S3)和V(S4)V(S5)
- D.P(S3)和P(S4)V(P5)
- 查看答案

-
- A.P(S3)和V(S4)V(S5)
- B.V(S3)和P(S4)P(S5)
- C.P(S3)和P(S4)P(S5)
- D.V(S3)和V(S4)V(S5)
- 查看答案

-
- A.P(S2)和P(S4)
- B.P(S2)和V(S4)
- C.V(S2)和P(S4)
- D.V(S2)和V(S4)
- 查看答案