某图G邻接表如下所示。以下关于图G叙述中,正确是( )。

- A.G是强连通图
- B.G是有7条弧有向图
- C.G是完全图
- D.G是有7条边无向图
正确答案及解析
正确答案
B
解析
本题考查数据结构基础知识。
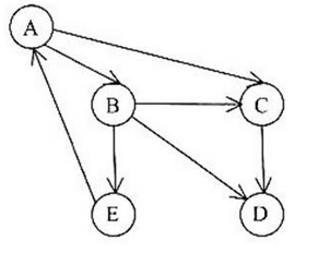
顶点A、B、C、D、E编号分别为1、2、3、4、5。如果为无向图,则每条边在邻接表中会表示两次,因此表结点数目应为偶数。题中邻接表中有7个表结点,显然是有向图。
从顶点A邻接表中可知,编号为2和3顶点为A邻接顶点,即存在弧<A,B>和<A,C>。
从顶点B邻接表中可知,编号为3、4和5顶点为B邻接顶点,即存在弧<B,C>、<B,D>和<B,E>。
从顶点C邻接表中可知,编号为4顶点为C邻接顶点,即存在弧<C,D>。
从顶点D邻接表中可知,该顶点没有邻接顶点。
从顶点E邻接表中可知,编号为1顶点为E邻接顶点,即存在弧<E,A>。
图G如下所示。

你可能感兴趣的试题

-
- A.V(S2)和P(S4)
- B.P(S2)和V(S4)
- C.P(S2)和P(S4)
- D.V(S2)和V(S4)
- 查看答案

-
- A.V(S1)P(S2)和V(S3)
- B.P(S1)V(S2)和V(S3)
- C.V(S1)V(S2)和V(S3)
- D.P(S1)P(S2)和V(S3)
- 查看答案

-
- A.P(S4)和V(S4)V(S5)
- B.V(S5)和P(S4)P(S5)
- C.V(S3)和V(S4)V(S5)
- D.P(S3)和P(S4)V(P5)
- 查看答案

-
- A.P(S3)和V(S4)V(S5)
- B.V(S3)和P(S4)P(S5)
- C.P(S3)和P(S4)P(S5)
- D.V(S3)和V(S4)V(S5)
- 查看答案

-
- A.P(S2)和P(S4)
- B.P(S2)和V(S4)
- C.V(S2)和P(S4)
- D.V(S2)和V(S4)
- 查看答案