某企业生产销售某产品,2017年前三个季度中,实际销售价格和销售数量如下表所示。

假设企业在第四季度要完成5000件的销售任务。
要求:
(1)分别确定第二季度和第三季度需求价格弹性系数。
(2)利用平均需求价格弹性系数,预计第四季度的价格。
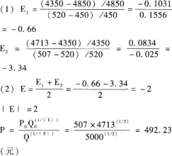
正确答案及解析
正确答案
解析

即第四季度要完成5000件的销售任务,其单位产品的销售价格为492.23元。
你可能感兴趣的试题
如果企业的资金来源全部为自有资金,且没有优先股存在,则企业财务杠杆系数( )。
-
- A.等于0
- B.等于1
- C.大于1
- D.小于1
- 查看答案
企业在进行商业信用定量分析时,应当重点关注的指标是( )。
-
- A.发展创新评价指标
- B.企业社会责任指标
- C.流动性和债务管理指标
- D.战略计划分析指标
- 查看答案
下列各项中,通常不会导致企业资本成本增加的是( )。
-
- A.通货膨胀加剧
- B.投资风险上升
- C.经济持续过热
- D.证券市场流动性增强
- 查看答案
在一定时期内,应收账款周转次数多、周转天数少表明()。
-
- A.收账速度快
- B.信用管理政策宽松
- C.应收账款流动性强
- D.应收账款管理效率高
- 查看答案
某公司在营运资金管理中,为了降低流动资产的持有成本、提高资产的收益性,决定保持一个低水平的流动资产与销售收入比率,据此判断,该公司采取的流动资产投资策略是( )。
-
- A.紧缩的流动资产投资策略
- B.宽松的流动资产投资策略
- C.匹配的流动资产投资策略
- D.稳健的流动资产投资策略
- 查看答案