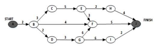
某软件项目活动图如下图所示,其中顶点表示项目里程碑,连接顶点边表示包含活动,边上数字表示活动持续时间(天),则完成该项目最少时间为(请作答此空)天。活动BC和BF分别最多可以晚开始( )天而不会影响整个项目进度。

- A.11
- B.15
- C.16
- D.18
正确答案及解析
正确答案
D
解析
本题中关键路径为:A→B→D→G→F→J和A→B→C→E→F→J,总时长为:18。
所以完成该项目最小时间为18天。
BC:由于BC在关键路径上,所以BC松弛时间为0。
BF:由于关键路径时长为18,经过BF最长路路径11,所以BF松弛时间为:18-11=7。
你可能感兴趣的试题

-
- A.V(S2)和P(S4)
- B.P(S2)和V(S4)
- C.P(S2)和P(S4)
- D.V(S2)和V(S4)
- 查看答案

-
- A.V(S1)P(S2)和V(S3)
- B.P(S1)V(S2)和V(S3)
- C.V(S1)V(S2)和V(S3)
- D.P(S1)P(S2)和V(S3)
- 查看答案

-
- A.P(S4)和V(S4)V(S5)
- B.V(S5)和P(S4)P(S5)
- C.V(S3)和V(S4)V(S5)
- D.P(S3)和P(S4)V(P5)
- 查看答案

-
- A.P(S3)和V(S4)V(S5)
- B.V(S3)和P(S4)P(S5)
- C.P(S3)和P(S4)P(S5)
- D.V(S3)和V(S4)V(S5)
- 查看答案

-
- A.P(S2)和P(S4)
- B.P(S2)和V(S4)
- C.V(S2)和P(S4)
- D.V(S2)和V(S4)
- 查看答案