
- A.<img src='http://tp.mxqe.com/data/736/13572671_0_1.jpg' alt='基础知识,章节练习,土木工程师(水利水电)工程科学基础,数学' title='基础知识,章节练习,土木工程师(水利水电)工程科学基础,数学'>
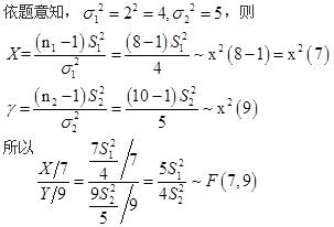
- B.<img src='http://tp.mxqe.com/data/736/13572671_0_2.jpg' alt='基础知识,章节练习,土木工程师(水利水电)工程科学基础,数学' title='基础知识,章节练习,土木工程师(水利水电)工程科学基础,数学'>
- C.<img src='http://tp.mxqe.com/data/736/13572671_0_3.jpg' alt='基础知识,章节练习,土木工程师(水利水电)工程科学基础,数学' title='基础知识,章节练习,土木工程师(水利水电)工程科学基础,数学'>
- D.<img src='http://tp.mxqe.com/data/736/13572671_0_4.jpg' alt='基础知识,章节练习,土木工程师(水利水电)工程科学基础,数学' title='基础知识,章节练习,土木工程师(水利水电)工程科学基础,数学'>
正确答案及解析
正确答案
B
解析





