题目详情

基础知识,章节练习,土木工程师(水利水电)工程科学基础,数学

  • A.高阶无穷小
  • B.低阶无穷小
  • C.同阶但非等价无穷小
  • D.等价无穷小

正确答案及解析

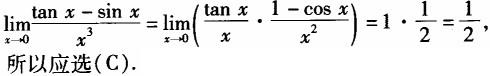
正确答案
C
解析

基础知识,章节练习,土木工程师(水利水电)工程科学基础,数学

你可能感兴趣的试题

单选题

专业基础知识,章节练习,工程管理基础

  • A.5.4
  • B.5.6
  • C.7.4
  • D.7.6
查看答案
单选题

专业基础知识,章节练习,工程管理基础

  • A.F1
  • B.F2
  • C.F3
  • D.F1、F2和F3
查看答案
单选题

专业基础知识,章节练习,工程管理基础

  • A.<14%
  • B.14%~15%
  • C.15%~16%
  • D.>16%
查看答案
单选题

专业基础知识,章节练习,工程管理基础

  • A.5.67
  • B.3.67
  • C.4.55
  • D.6.78
查看答案
单选题

专业基础知识,章节练习,工程管理基础

  • A.甲、乙组合
  • B.乙、丙组合
  • C.甲、丙组合
  • D.甲、乙、丙组合
查看答案

相关题库更多 +