题目详情

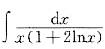
不定积分题岩土基础知识,章节练习,基础复习,注册岩土基础知识模拟=( )。

  • A.见图A
  • B.见图B
  • C.见图C
  • D.见图D

正确答案及解析

正确答案
A
解析

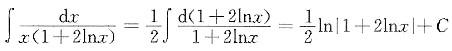
由第一类换元法岩土基础知识,章节练习,基础复习,注册岩土基础知识模拟

你可能感兴趣的试题

单选题

TCP/IP协议是Internet中计算机之间通信所必须共同遵循的一种:

  • A.信息资源
  • B.通信规定
  • C.软件
  • D.硬件
查看答案
单选题

岩土基础知识,专项练习,注册岩土工程师《公共基础考试》重点

  • A.见图A
  • B.见图B
  • C.见图C
  • D.见图D
查看答案
单选题

岩土基础知识,专项练习,注册岩土工程师《公共基础考试》重点

  • A.33.35
  • B.42.7
  • C.66.7
  • D.77.25
查看答案
单选题

岩土基础知识,专项练习,注册岩土工程师《公共基础考试》重点

  • A.增加1倍
  • B.为原来的4倍
  • C.为原来的1/4
  • D.为原来的1/2
查看答案
单选题

岩土基础知识,专项练习,注册岩土工程师《公共基础考试》重点

  • A.见图A
  • B.见图B
  • C.见图C
  • D.见图D
查看答案

相关题库更多 +