一端固定一端自由的细长(大柔度)压杆,长为L(如图a)所示,当杆的长度减小一半时(如图b)所示,其临界荷载Fcr比原来增加:

- A.4倍
- B.3倍
- C.2倍
- D.1倍
正确答案及解析
正确答案
A
解析
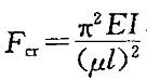
提示:由压杆临界荷载公式
可知,Fcr与杆长l2成反比,故杆长度为l/2时,Fcr则是原来的4倍。
一端固定一端自由的细长(大柔度)压杆,长为L(如图a)所示,当杆的长度减小一半时(如图b)所示,其临界荷载Fcr比原来增加:

提示:由压杆临界荷载公式
可知,Fcr与杆长l2成反比,故杆长度为l/2时,Fcr则是原来的4倍。