题目详情

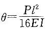
有一简支梁,中点受集中力P作用。梁端转角岩土基础知识,章节练习,岩土基础知识,当梁的长度l、横截面尺寸、荷载P均增大一倍时,梁端转角等于原转角的多少倍?

  • A.1/2
  • B.1
  • C.2
  • D.4

正确答案及解析

正确答案
A
解析

提示:当横截面尺寸增大一倍时,I是原来的16倍,同时代入P'=2P,l' = 2l进行计算,可知转角是原来的1/2。

你可能感兴趣的试题

单选题

TCP/IP协议是Internet中计算机之间通信所必须共同遵循的一种:

  • A.信息资源
  • B.通信规定
  • C.软件
  • D.硬件
查看答案
单选题

岩土基础知识,专项练习,注册岩土工程师《公共基础考试》重点

  • A.见图A
  • B.见图B
  • C.见图C
  • D.见图D
查看答案
单选题

岩土基础知识,专项练习,注册岩土工程师《公共基础考试》重点

  • A.33.35
  • B.42.7
  • C.66.7
  • D.77.25
查看答案
单选题

岩土基础知识,专项练习,注册岩土工程师《公共基础考试》重点

  • A.增加1倍
  • B.为原来的4倍
  • C.为原来的1/4
  • D.为原来的1/2
查看答案
单选题

岩土基础知识,专项练习,注册岩土工程师《公共基础考试》重点

  • A.见图A
  • B.见图B
  • C.见图C
  • D.见图D
查看答案

相关题库更多 +