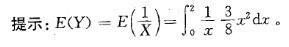
设随机变量X的概率密度为
望是:
- A.3/4
- B.1/2
- C.2/3
- D.1/4
正确答案及解析
正确答案
A
解析

你可能感兴趣的试题
TCP/IP协议是Internet中计算机之间通信所必须共同遵循的一种:
-
- A.信息资源
- B.通信规定
- C.软件
- D.硬件
- 查看答案

-
- A.<img src='http://tp.mxqe.com/data/190/13186367_0_1.jpg' alt='岩土基础知识,章节练习,工程科学基础,流体力学' title='岩土基础知识,章节练习,工程科学基础,流体力学'>
- B.<img src='http://tp.mxqe.com/data/190/13186367_0_2.jpg' alt='岩土基础知识,章节练习,工程科学基础,流体力学' title='岩土基础知识,章节练习,工程科学基础,流体力学'>
- C.<img src='http://tp.mxqe.com/data/190/13186367_0_3.jpg' alt='岩土基础知识,章节练习,工程科学基础,流体力学' title='岩土基础知识,章节练习,工程科学基础,流体力学'>
- D.<img src='http://tp.mxqe.com/data/190/13186367_0_4.jpg' alt='岩土基础知识,章节练习,工程科学基础,流体力学' title='岩土基础知识,章节练习,工程科学基础,流体力学'>
- 查看答案

-
- A.3.4
- B.4.2
- C.4.9
- D.6.1
- 查看答案

-
- A.1/3
- B.1/2
- C.2/3
- D.1
- 查看答案

-
- A.18
- B.15
- C.10.9
- D.9
- 查看答案