
- A.<img src='http://tp.mxqe.com/data/37/11308034_0_1.jpg' alt='电气工程师基础专业知识,章节练习,电气工程师基础专业知识' title='电气工程师基础专业知识,章节练习,电气工程师基础专业知识'>
- B.<img src='http://tp.mxqe.com/data/37/11308034_0_2.jpg' alt='电气工程师基础专业知识,章节练习,电气工程师基础专业知识' title='电气工程师基础专业知识,章节练习,电气工程师基础专业知识'>
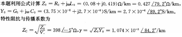
- C.<img src='http://tp.mxqe.com/data/37/11308034_0_3.jpg' alt='电气工程师基础专业知识,章节练习,电气工程师基础专业知识' title='电气工程师基础专业知识,章节练习,电气工程师基础专业知识'>
- D.<img src='http://tp.mxqe.com/data/37/11308034_0_4.jpg' alt='电气工程师基础专业知识,章节练习,电气工程师基础专业知识' title='电气工程师基础专业知识,章节练习,电气工程师基础专业知识'>
正确答案及解析
正确答案
B
解析

你可能感兴趣的试题
关于评标委员会组成的说法,正确的是( )。
-
- A.招标人代表2人,专家6人
- B.招标人代表2人,专家5人
- C.招标人代表2人,专家4人
- D.招标人代表2人,专家3人
- 查看答案
1mol的单原子分子理想气体从状态A变为状态B,气体未知,变化过程也未知,但A、B两态的压强、体积和温度都知道,则可求出( )。
-
- A.气体所作的功
- B.气体内能的变化
- C.气体传给外界的热量
- D.气体的质量
- 查看答案
同一种气体的定压摩尔热容大于定容摩尔热容,其原因是( )。
-
- A.气体压强不同
- B.气体温度变化不同
- C.气体膨胀需要做功
- D.气体质量不同
- 查看答案
声音从声源发出,在均匀无限大的空气中传播的过程中,( )。
-
- A.声波的波速不断减小
- B.声波的波长不断减小
- C.声波的振幅不断减小
- D.声波的频率不断减小
- 查看答案
已知某理想气体的压强为p,体积为V,温度为T,气体的摩尔质量为M,k为玻耳兹曼常量,R为摩尔气体常量,则该理想气体的密度为( )。
-
- A.M/V
- B.pM/(RT)
- C.pM/(kT)
- D.p/(RT)
- 查看答案