如图所示,对称结构梁在反对称荷载作用下,梁中间C截面的弯曲内力是( )。

- A.剪力、弯矩均不为零
- B.剪力为零,弯矩不为零
- C.剪力不为零,弯矩为零
- D.剪力、弯矩均为零
正确答案及解析
正确答案
C
解析
设支座A、B处的支座反力分别为FA、FB,方向向上。
由ΣMA=0可得:FB×4a+F×3a-F×a=0,解得:FB=-F/2。
由ΣMB=0可得:FA×4a+F×a-F×3a=0,解得:FA=F/2。
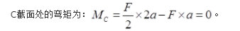
从C截面处断开,取AC段为研究对象,设C截面处的剪力为FC,方向向下。
列竖向的平衡方程可得:FC+F=F/2,故FC =-F/2。
.
包含此试题的试卷
你可能感兴趣的试题

-
- A.5.4
- B.5.6
- C.7.4
- D.7.6
- 查看答案

-
- A.F1
- B.F2
- C.F3
- D.F1、F2和F3
- 查看答案

-
- A.<14%
- B.14%~15%
- C.15%~16%
- D.>16%
- 查看答案

-
- A.5.67
- B.3.67
- C.4.55
- D.6.78
- 查看答案

-
- A.111001100.100011001
- B.111001100.10001101
- C.111001100.100011011
- D.111001100.10001111
- 查看答案