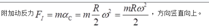
质量为m,半径为R的均质圆轮绕垂直于图面的水平轴O转动,在力偶M的作用下,其常角速度为ω。在图示瞬时,轮心C在最低位置,这时轴承O施加于轮的附加动反力为( )。

- A.见图A
- B.见图B
- C.见图C
- D.见图D
正确答案及解析
正确答案
C
解析

包含此试题的试卷
你可能感兴趣的试题

-
- A.5.4
- B.5.6
- C.7.4
- D.7.6
- 查看答案

-
- A.F1
- B.F2
- C.F3
- D.F1、F2和F3
- 查看答案

-
- A.<14%
- B.14%~15%
- C.15%~16%
- D.>16%
- 查看答案

-
- A.5.67
- B.3.67
- C.4.55
- D.6.78
- 查看答案

-
- A.111001100.100011001
- B.111001100.10001101
- C.111001100.100011011
- D.111001100.10001111
- 查看答案