

- A.见图A
- B.见图B
- C.见图C
- D.见图D
正确答案及解析
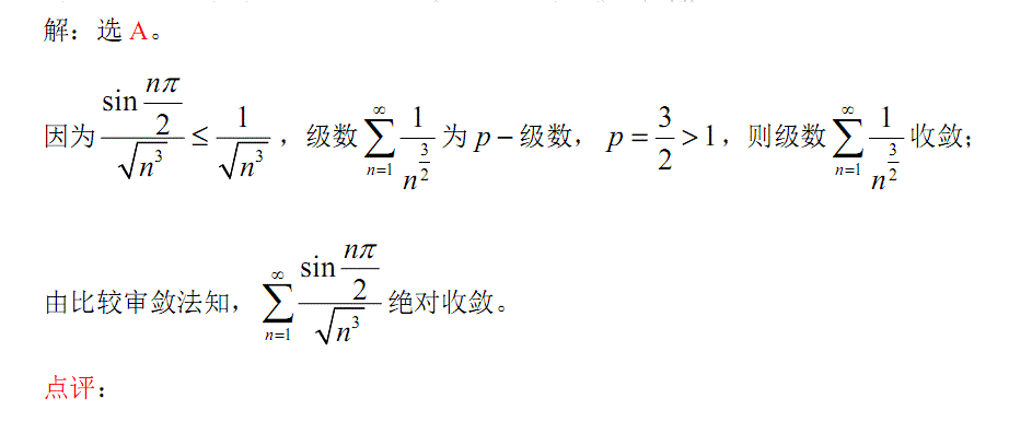
正确答案
A
解析


包含此试题的试卷
你可能感兴趣的试题
关于评标委员会组成的说法,正确的是( )。
-
- A.招标人代表2人,专家6人
- B.招标人代表2人,专家5人
- C.招标人代表2人,专家4人
- D.招标人代表2人,专家3人
- 查看答案
过z轴和点M(1,2,-1)的平面方程是:
-
- A.x+2y-z-6=0
- B.2x-y=0
- C.y+2z=0
- D.x+z=0
- 查看答案
关于扩声和音响系统设计中的以下问题,选择正确的答案。
扩声系统的技术指标,下列说法正确的包括()。
-
- A.最大可用增益:指扩声系统在厅堂内产生声反馈自激前,临界状态的系统增益减去6d
- B.时的增益;B混响时间:声源达到稳态,待停止发声后,室内声压级衰减40dB所需的时间;
- C.背景噪声:扩声系统不工作时,厅堂内各测量点处室内本底噪声声压级的平均值;
- D.声场不均匀度:扩声时,斤内各测量点处得到的稳态声压级的极大值和极小值的平均值。
- 查看答案
对某新建住宅小区有线电视系统设计中的以下问题,选择正确答案。
某干线放大器的标称最大输出电平为1O6dB.μV,串接3个放大器,传输频道为51个,分配给干线的交扰调制比系数为0.2。此时,该放大器实际可用的最大输出电平应为()
-
- A.95.45d
- B.μV;B90.45dBμV;
- C.85.45dB.μV;
- D.81.45dB.μV。
- 查看答案
对某新建住宅小区有线电视系统设计中的以下问题,选择正确答案。
小区内一有线电视前端宽带混合放大器,其标称最大输出电平为110dB.μV,系统传输频道数为12个,分配给前端的交扰调制比系数为0.2,则该放大器实际可用的最大输出电平设计值应为()。
-
- A.96.2d
- B.μV;B95.2dBμV;
- C.94.2dB.μV;
- D.93.2dB.μV。
- 查看答案