关于侧面采光系数平均值计算式中,与下列参数无直接关系的是( )。
- A.窗洞口面积
- B.室内表面总面积
- C.窗的总透射比
- D.采光有效进深
正确答案及解析
正确答案
D
解析
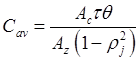
侧窗采光平均采光系数Cav的计算公式为:
。式中,τ为窗的总透射比;Ac为窗洞口面积,m2;Az为室内表面总面积,m2;ρj为室内各表面反射比的加权平均值;θ为从窗中心点计算的垂直可见天空的角度值。D项中的采光有效进深是衡量室内采光能力的重要指标和设计依据,依据公式看,它并不是采光系数的直接影响因素。
包含此试题的试卷
你可能感兴趣的试题
建设项目的实际造价是( )。
-
- A.中标价
- B.承包合同价
- C.竣工决算价
- D.竣工结算价
- 查看答案
某啤酒厂,日均废水量为2000m3/d,废水的CODCr为8000mg/L,BOD5为5800mg/L,SS为800mg/L,pH在8.5左右。要求处理后出水CODCr<200mg/L,SS<200mg/L。综合考虑技术和经济,以下工艺方案中最合理的是哪项?( )
-
- A.格栅→调节池→初沉池→UASB→二沉池→出水
- B.格栅→初沉池→厌氧生物滤池→UASB→二沉池→出水
- C.格栅→调节池→水解酸化池→曝气生物滤池→二沉池→出水
- D.格栅→调节池→UASB→好氧接触氧化池→二沉池→出水
- 查看答案

-
- A.100
- B.120
- C.130
- D.150
- 查看答案

-
- A.15.28
- B.16
- C.15
- D.16.74
- 查看答案

-
- A.18
- B.19
- C.21
- D.23
- 查看答案