题目详情

基础知识,模拟考试,2022土木工程师水利水电公共基础模拟试卷2基础知识,模拟考试,2022土木工程师水利水电公共基础模拟试卷2

  • A.见图A
  • B.见图B
  • C.见图C
  • D.见图D

正确答案及解析

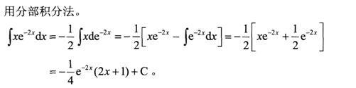
正确答案
A
解析

基础知识,模拟考试,2022土木工程师水利水电公共基础模拟试卷2

包含此试题的试卷

你可能感兴趣的试题

单选题

专业案例,模拟考试,水利水电专业案例模拟试卷6

  • A.3
  • B.4
  • C.5
  • D.6
查看答案
单选题

专业案例,模拟考试,水利水电专业案例模拟试卷6

  • A.180
  • B.185
  • C.190
  • D.195
查看答案
单选题

专业案例,模拟考试,水利水电专业案例模拟试卷6

  • A.2.00
  • B.2.25
  • C.2.5
  • D.3.00
查看答案
单选题

专业案例,模拟考试,水利水电专业案例模拟试卷6

  • A.10%
  • B.15%
  • C.20%
  • D.30%
查看答案
单选题

专业案例,模拟考试,水利水电专业案例模拟试卷6

  • A.Ⅴ度
  • B.Ⅵ度
  • C.Ⅶ度
  • D.Ⅷ度
查看答案

相关题库更多 +