题目详情

基础知识(给排水),历年真题,2009年公共基础知识(给排水)真题

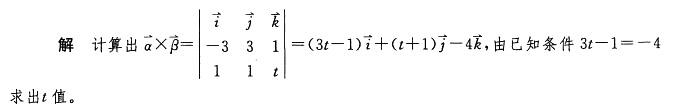
  • A.-2
  • B.0
  • C.-1
  • D.1

正确答案及解析

正确答案
C
解析

基础知识(给排水),历年真题,2009年公共基础知识(给排水)真题

包含此试题的试卷

你可能感兴趣的试题

单选题

(暖通空调+动力)基础知识,专项练习,公用设备工程师《基础知识》(暖通空调+动力)预测题

(暖通空调+动力)基础知识,专项练习,公用设备工程师《基础知识》(暖通空调+动力)预测题

  • A.见图A
  • B.见图B
  • C.见图C
  • D.见图D
查看答案
单选题

(暖通空调+动力)基础知识,专项练习,公用设备工程师《基础知识》(暖通空调+动力)预测题

(暖通空调+动力)基础知识,专项练习,公用设备工程师《基础知识》(暖通空调+动力)预测题

  • A.见图A
  • B.见图B
  • C.见图C
  • D.见图D
查看答案
单选题

(暖通空调+动力)基础知识,专项练习,公用设备工程师《基础知识》(暖通空调+动力)预测题

(暖通空调+动力)基础知识,专项练习,公用设备工程师《基础知识》(暖通空调+动力)预测题

(暖通空调+动力)基础知识,专项练习,公用设备工程师《基础知识》(暖通空调+动力)预测题

  • A.见图A
  • B.见图B
  • C.见图C
  • D.见图D
查看答案
单选题

(暖通空调+动力)基础知识,专项练习,公用设备工程师《基础知识》(暖通空调+动力)预测题

(暖通空调+动力)基础知识,专项练习,公用设备工程师《基础知识》(暖通空调+动力)预测题

  • A.见图A
  • B.见图B
  • C.见图C
  • D.见图D
查看答案
单选题

(暖通空调+动力)基础知识,专项练习,公用设备工程师《基础知识》(暖通空调+动力)预测题

(暖通空调+动力)基础知识,专项练习,公用设备工程师《基础知识》(暖通空调+动力)预测题

  • A.见图A
  • B.见图B
  • C.见图C
  • D.见图D
查看答案

相关题库更多 +