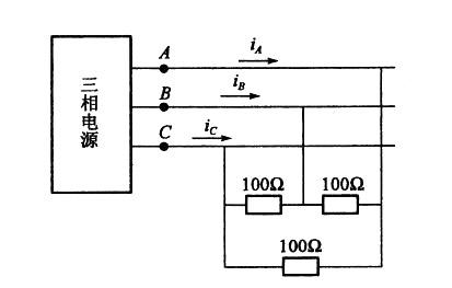
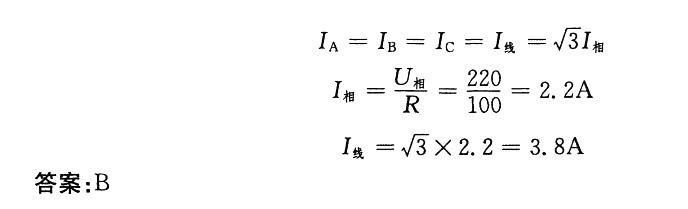
有三个lOOΩ的线性电阻接成△三相对称负载,然后挂接在电压为220V的三相对称 电源上,这时供电线路上的电流为:
- A.6. 6A
- B.3. 8A
- C.2. 2A
- D.1. 3A
正确答案及解析
正确答案
B
解析
根据题意可画出三相电路图(见图),它是一个三角形接法的对称电路,各线电线
相同,即

包含此试题的试卷
你可能感兴趣的试题

-
- A.<img src='http://tp.mxqe.com/data/740/13580837_0_1.jpg' alt='(暖通空调+动力)基础知识,专项练习,公用设备工程师《基础知识》(暖通空调+动力)流体力学' title='(暖通空调+动力)基础知识,专项练习,公用设备工程师《基础知识》(暖通空调+动力)流体力学'>
- B.<img src='http://tp.mxqe.com/data/740/13580837_0_2.jpg' alt='(暖通空调+动力)基础知识,专项练习,公用设备工程师《基础知识》(暖通空调+动力)流体力学' title='(暖通空调+动力)基础知识,专项练习,公用设备工程师《基础知识》(暖通空调+动力)流体力学'>
- C.<img src='http://tp.mxqe.com/data/740/13580837_0_3.jpg' alt='(暖通空调+动力)基础知识,专项练习,公用设备工程师《基础知识》(暖通空调+动力)流体力学' title='(暖通空调+动力)基础知识,专项练习,公用设备工程师《基础知识》(暖通空调+动力)流体力学'>
- D.<img src='http://tp.mxqe.com/data/740/13580837_0_4.jpg' alt='(暖通空调+动力)基础知识,专项练习,公用设备工程师《基础知识》(暖通空调+动力)流体力学' title='(暖通空调+动力)基础知识,专项练习,公用设备工程师《基础知识》(暖通空调+动力)流体力学'>
- 查看答案

-
- A.3.4
- B.4.2
- C.4.9
- D.6.1
- 查看答案

-
- A.1/3
- B.1/2
- C.2/3
- D.1
- 查看答案

-
- A.18
- B.15
- C.10.9
- D.9
- 查看答案

-
- A.对理想流体,该测压管水头线(Hp线)应该沿程无变化
- B.该图是理想流体流动的水头线
- C.对理想流体,该总水头线(H0线)沿程无变化
- D.该图不适用于描述实际流体的水头线
- 查看答案