比转数

一单级单吸泵,流量Q=45m3/h,扬程H=33.5m,转速n=2900r/min,比转数为( )。
- A.106
- B.90
- C.80
- D.60
正确答案及解析
正确答案
C
解析
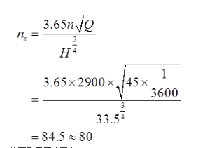
根据已知条件,可得比转数为:

【说明】比转数通常以十位数字取整数表示,故不采用四舍五入。
比转数

一单级单吸泵,流量Q=45m3/h,扬程H=33.5m,转速n=2900r/min,比转数为( )。
根据已知条件,可得比转数为:

【说明】比转数通常以十位数字取整数表示,故不采用四舍五入。