坡度、边壁材料相同的渠道,当过水面积相等时,明渠均匀流过水断面的平均流速在哪种渠道中最大?( )
- A.半圆形渠道
- B.正方形渠道
- C.宽深比为3的矩形渠道
- D.等边三角形渠道
正确答案及解析
正确答案
A
解析
明渠均匀流的公式为:

R=A/χ。式中,C为谢才系数,R为水力半径,i为渠道底坡,χ为湿周,A为过水断面面积。
由曼宁公式可知C=R1/6/n,则均匀流计算公式简化为:

根据题意坡度、边壁材料相同可知渠道底坡i和糙率n相同,则水力半径R越大,流速越大。
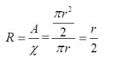
A项,半圆形渠道,设其几何半径为r,则水力半径为:

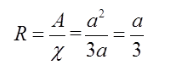
B项,正方形渠道,设其几何边长为a,则水力半径为:

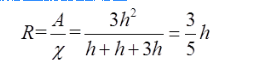
C项,宽深比为3的矩形渠道,设其几何边长中深度为h,则水力半径为:

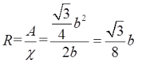
D项,等边三角形渠道,设其几何边长为b,则水力半径为:

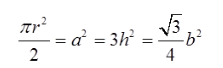
根据题意过水面积相等,则有:

求得:r:a:h:b=1:1.253:0.724:1.905,则A、B、C、D对应的水力半径之比为1:0.835:0.869:0.825,故水力半径最大的为A项。








