宽浅的矩形断面渠道,随流量的增大,临界底坡将( )。
- A.不变
- B.减少
- C.增大
- D.不定
正确答案及解析
正确答案
B
解析

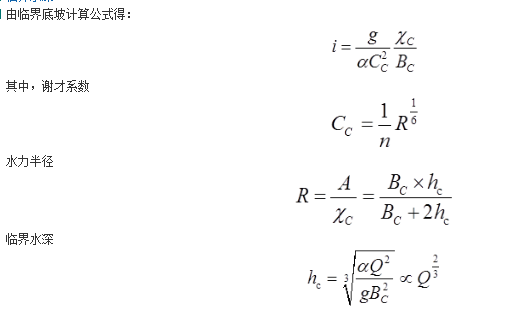
综上,流量增大,临界水深增大;又渠道为宽浅矩形渠道,故谢才系数R随临界水深增大而增大,则CC增大,临界底坡减小。
包含此试题的试卷
你可能感兴趣的试题

-
- A.<img src='http://tp.mxqe.com/data/233/16867661_0_1.jpg' alt='(暖通空调+动力)基础知识,章节练习,工程科学基础' title='(暖通空调+动力)基础知识,章节练习,工程科学基础'>
- B.<img src='http://tp.mxqe.com/data/233/16867661_0_2.jpg' alt='(暖通空调+动力)基础知识,章节练习,工程科学基础' title='(暖通空调+动力)基础知识,章节练习,工程科学基础'>
- C.<img src='http://tp.mxqe.com/data/233/16867661_0_3.jpg' alt='(暖通空调+动力)基础知识,章节练习,工程科学基础' title='(暖通空调+动力)基础知识,章节练习,工程科学基础'>
- D.<img src='http://tp.mxqe.com/data/233/16867661_0_4.jpg' alt='(暖通空调+动力)基础知识,章节练习,工程科学基础' title='(暖通空调+动力)基础知识,章节练习,工程科学基础'>
- 查看答案

-
- A.3.4
- B.4.2
- C.4.9
- D.6.1
- 查看答案

-
- A.1/3
- B.1/2
- C.2/3
- D.1
- 查看答案

-
- A.18
- B.15
- C.10.9
- D.9
- 查看答案

-
- A.对理想流体,该测压管水头线(Hp线)应该沿程无变化
- B.该图是理想流体流动的水头线
- C.对理想流体,该总水头线(H0线)沿程无变化
- D.该图不适用于描述实际流体的水头线
- 查看答案