波长为λ的单色光垂直入射到一衍射光栅上,当光栅常数为(a+b)时,第一级衍射条纹对应的衍射角为φ,当换成光栅常数为

的光栅时,第一级衍射条纹对应的衍射角为2φ,则λ/(a+b)为( )。

- A.见图A
- B.见图B
- C.见图C
- D.见图D
正确答案及解析
正确答案
A
解析
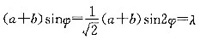
根据光栅公式,

波长为λ的单色光垂直入射到一衍射光栅上,当光栅常数为(a+b)时,第一级衍射条纹对应的衍射角为φ,当换成光栅常数为

的光栅时,第一级衍射条纹对应的衍射角为2φ,则λ/(a+b)为( )。

根据光栅公式,
