题目详情

设总体X服从参数λ的指数分布,X1,X2,…,Xn是从中抽取的样本,则E(X)为( )。

(暖通空调+动力)基础知识,模拟考试,基础知识(暖通空调+动力)模拟试卷7

  • A.见图A
  • B.见图B
  • C.见图C
  • D.见图D

正确答案及解析

正确答案
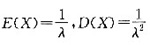
A
解析

由于x服从指数分布,即

岩土基础知识,点睛提分卷,2022年(岩土)《公共基础考试》点睛提分卷1

所以

岩土基础知识,点睛提分卷,2022年(岩土)《公共基础考试》点睛提分卷1

包含此试题的试卷

你可能感兴趣的试题

单选题

基础知识(给排水),历年真题,2014年公共基础知识(给排水)真题

基础知识(给排水),历年真题,2014年公共基础知识(给排水)真题

  • A.0、0
  • B.0、1
  • C.1、0
  • D.1、1
查看答案
单选题

基础知识(给排水),历年真题,2014年公共基础知识(给排水)真题

基础知识(给排水),历年真题,2014年公共基础知识(给排水)真题

  • A.0、0
  • B.0、1
  • C.1、0
  • D.1、1
查看答案
单选题

基础知识(给排水),历年真题,2014年公共基础知识(给排水)真题

基础知识(给排水),历年真题,2014年公共基础知识(给排水)真题

  • A.见图A
  • B.见图B
  • C.见图C
  • D.见图D
查看答案
单选题

基础知识(给排水),历年真题,2014年公共基础知识(给排水)真题

  • A.17、32A,25、98N·m
  • B.10A,15N·m
  • C.10A,25、98N·m
  • D.17、32A,15N·m
查看答案
单选题

基础知识(给排水),历年真题,2014年公共基础知识(给排水)真题

基础知识(给排水),历年真题,2014年公共基础知识(给排水)真题

  • A.见图A
  • B.见图B
  • C.见图C
  • D.见图D
查看答案

相关题库更多 +