设X1,X2,…,Xn是来自总体X的样本,
,s2分别是样本均值和样本方差,E.(X)=μ,D.(X)=σ2,则有()。
- A.见图A
- B.见图B
- C.见图C
- D.见图D
正确答案及解析
正确答案
B
解析
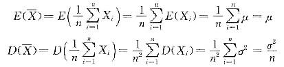
,经计算
从而(B)正确而(A)不正确,而(C)、(D)需要总体X服从正态分布N(μ,σ2)才能成立
设X1,X2,…,Xn是来自总体X的样本,
,s2分别是样本均值和样本方差,E.(X)=μ,D.(X)=σ2,则有()。
,经计算
从而(B)正确而(A)不正确,而(C)、(D)需要总体X服从正态分布N(μ,σ2)才能成立