


- A.见图A
- B.见图B
- C.见图C
- D.见图D
正确答案及解析
正确答案
B
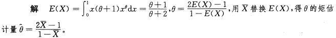
解析

包含此试题的试卷
你可能感兴趣的试题

-
- A.x-z-2=0
- B.x+z=0
- C.x-2y+z=0
- D.x+y+z=1
- 查看答案

-
- A.0.6
- B.0.7
- C.0.8
- D.0.9
- 查看答案

-
- A.<img src='http://tp.mxqe.com/data/740/13579373_0_1.jpg' alt='(暖通空调+动力)基础知识,专项练习,公用设备工程师(暖通空调+动力)《基础知识》数学必做' title='(暖通空调+动力)基础知识,专项练习,公用设备工程师(暖通空调+动力)《基础知识》数学必做'>
- B.<img src='http://tp.mxqe.com/data/740/13579373_0_2.jpg' alt='(暖通空调+动力)基础知识,专项练习,公用设备工程师(暖通空调+动力)《基础知识》数学必做' title='(暖通空调+动力)基础知识,专项练习,公用设备工程师(暖通空调+动力)《基础知识》数学必做'>
- C.<img src='http://tp.mxqe.com/data/740/13579373_0_3.jpg' alt='(暖通空调+动力)基础知识,专项练习,公用设备工程师(暖通空调+动力)《基础知识》数学必做' title='(暖通空调+动力)基础知识,专项练习,公用设备工程师(暖通空调+动力)《基础知识》数学必做'>
- D.<img src='http://tp.mxqe.com/data/740/13579373_0_4.jpg' alt='(暖通空调+动力)基础知识,专项练习,公用设备工程师(暖通空调+动力)《基础知识》数学必做' title='(暖通空调+动力)基础知识,专项练习,公用设备工程师(暖通空调+动力)《基础知识》数学必做'>
- 查看答案

-
- A.用洛必达法则后,求得极限为0
- B.<img src='http://tp.mxqe.com/data/740/13579372_0_1.jpg' alt='(暖通空调+动力)基础知识,专项练习,公用设备工程师(暖通空调+动力)《基础知识》数学必做' title='(暖通空调+动力)基础知识,专项练习,公用设备工程师(暖通空调+动力)《基础知识》数学必做'>
- C.<img src='http://tp.mxqe.com/data/740/13579372_0_2.jpg' alt='(暖通空调+动力)基础知识,专项练习,公用设备工程师(暖通空调+动力)《基础知识》数学必做' title='(暖通空调+动力)基础知识,专项练习,公用设备工程师(暖通空调+动力)《基础知识》数学必做'>
- D.因为不能用洛必达法则,故极限不存在
- 查看答案

-
- A.<img src='http://tp.mxqe.com/data/740/13579371_0_1.jpg' alt='(暖通空调+动力)基础知识,专项练习,公用设备工程师(暖通空调+动力)《基础知识》数学必做' title='(暖通空调+动力)基础知识,专项练习,公用设备工程师(暖通空调+动力)《基础知识》数学必做'>
- B.<img src='http://tp.mxqe.com/data/740/13579371_0_2.jpg' alt='(暖通空调+动力)基础知识,专项练习,公用设备工程师(暖通空调+动力)《基础知识》数学必做' title='(暖通空调+动力)基础知识,专项练习,公用设备工程师(暖通空调+动力)《基础知识》数学必做'>
- C.<img src='http://tp.mxqe.com/data/740/13579371_0_3.jpg' alt='(暖通空调+动力)基础知识,专项练习,公用设备工程师(暖通空调+动力)《基础知识》数学必做' title='(暖通空调+动力)基础知识,专项练习,公用设备工程师(暖通空调+动力)《基础知识》数学必做'>
- D.<img src='http://tp.mxqe.com/data/740/13579371_0_4.jpg' alt='(暖通空调+动力)基础知识,专项练习,公用设备工程师(暖通空调+动力)《基础知识》数学必做' title='(暖通空调+动力)基础知识,专项练习,公用设备工程师(暖通空调+动力)《基础知识》数学必做'>
- 查看答案