题目详情

(暖通空调+动力)基础知识,历年真题,2007年基础知识(暖通空调+动力)真题

(暖通空调+动力)基础知识,历年真题,2007年基础知识(暖通空调+动力)真题

  • A.见图A
  • B.见图B
  • C.见图C
  • D.见图D

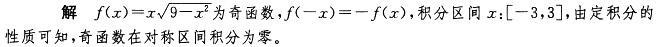
正确答案及解析

正确答案
A
解析

(暖通空调+动力)基础知识,历年真题,2007年基础知识(暖通空调+动力)真题

包含此试题的试卷

你可能感兴趣的试题

多选题

专业知识(暖通空调专业),专项练习,公用设备工程师(暖通空调专业)《专业知识》模考

  • A.水泵的设计扬程不够
  • B.水泵的设计流量不够
  • C.热水系统的设计阻力过小
  • D.水泵性能未达到要求
查看答案
多选题

专业知识(暖通空调专业),专项练习,公用设备工程师(暖通空调专业)《专业知识》模考

  • A.控制点至罩口距离X
  • B.罩口面积F
  • C.<img src='http://tp.mxqe.com/data/742/13604448_0_1.jpg' alt='专业知识(暖通空调专业),专项练习,公用设备工程师(暖通空调专业)《专业知识》模考' title='专业知识(暖通空调专业),专项练习,公用设备工程师(暖通空调专业)《专业知识》模考'>
  • D.集气吸气罩的形式
查看答案
多选题

专业知识(暖通空调专业),专项练习,公用设备工程师(暖通空调专业)《专业知识》模考

  • A.工作压力低
  • B.制冷效率高
  • C.汽化潜热大、传热性能好
  • D.纯天然物质,不破坏环境
查看答案
单选题

专业知识(暖通空调专业),专项练习,公用设备工程师(暖通空调专业)《专业知识》模考

  • A.供、回水干管的平均比摩阻降低
  • B.供、回水干管的平均比摩阻增加
  • C.供、回水干管的平均比摩阻不变
  • D.各用户的资用压差均增加。
查看答案
单选题

专业知识(暖通空调专业),专项练习,公用设备工程师(暖通空调专业)《专业知识》模考

  • A.按户为单位计算确定
  • B.按计算管段分别确定
  • C.<img src='http://tp.mxqe.com/data/742/13604469_0_1.jpg' alt='专业知识(暖通空调专业),专项练习,公用设备工程师(暖通空调专业)《专业知识》模考' title='专业知识(暖通空调专业),专项练习,公用设备工程师(暖通空调专业)《专业知识》模考'>
  • D.<img src='http://tp.mxqe.com/data/742/13604469_0_2.jpg' alt='专业知识(暖通空调专业),专项练习,公用设备工程师(暖通空调专业)《专业知识》模考' title='专业知识(暖通空调专业),专项练习,公用设备工程师(暖通空调专业)《专业知识》模考'>
查看答案

相关题库更多 +