

- A.见图A
- B.见图B
- C.见图C
- D.见图D
正确答案及解析
正确答案
B
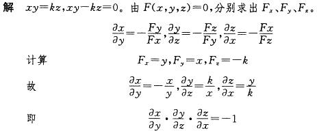
解析

包含此试题的试卷
你可能感兴趣的试题

-
- A.水泵的设计扬程不够
- B.水泵的设计流量不够
- C.热水系统的设计阻力过小
- D.水泵性能未达到要求
- 查看答案

-
- A.控制点至罩口距离X
- B.罩口面积F
- C.<img src='http://tp.mxqe.com/data/742/13604448_0_1.jpg' alt='专业知识(暖通空调专业),专项练习,公用设备工程师(暖通空调专业)《专业知识》模考' title='专业知识(暖通空调专业),专项练习,公用设备工程师(暖通空调专业)《专业知识》模考'>
- D.集气吸气罩的形式
- 查看答案

-
- A.工作压力低
- B.制冷效率高
- C.汽化潜热大、传热性能好
- D.纯天然物质,不破坏环境
- 查看答案

-
- A.供、回水干管的平均比摩阻降低
- B.供、回水干管的平均比摩阻增加
- C.供、回水干管的平均比摩阻不变
- D.各用户的资用压差均增加。
- 查看答案

-
- A.按户为单位计算确定
- B.按计算管段分别确定
- C.<img src='http://tp.mxqe.com/data/742/13604469_0_1.jpg' alt='专业知识(暖通空调专业),专项练习,公用设备工程师(暖通空调专业)《专业知识》模考' title='专业知识(暖通空调专业),专项练习,公用设备工程师(暖通空调专业)《专业知识》模考'>
- D.<img src='http://tp.mxqe.com/data/742/13604469_0_2.jpg' alt='专业知识(暖通空调专业),专项练习,公用设备工程师(暖通空调专业)《专业知识》模考' title='专业知识(暖通空调专业),专项练习,公用设备工程师(暖通空调专业)《专业知识》模考'>
- 查看答案