
-
A.3.501m
-
B.4.312m
-
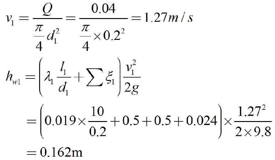
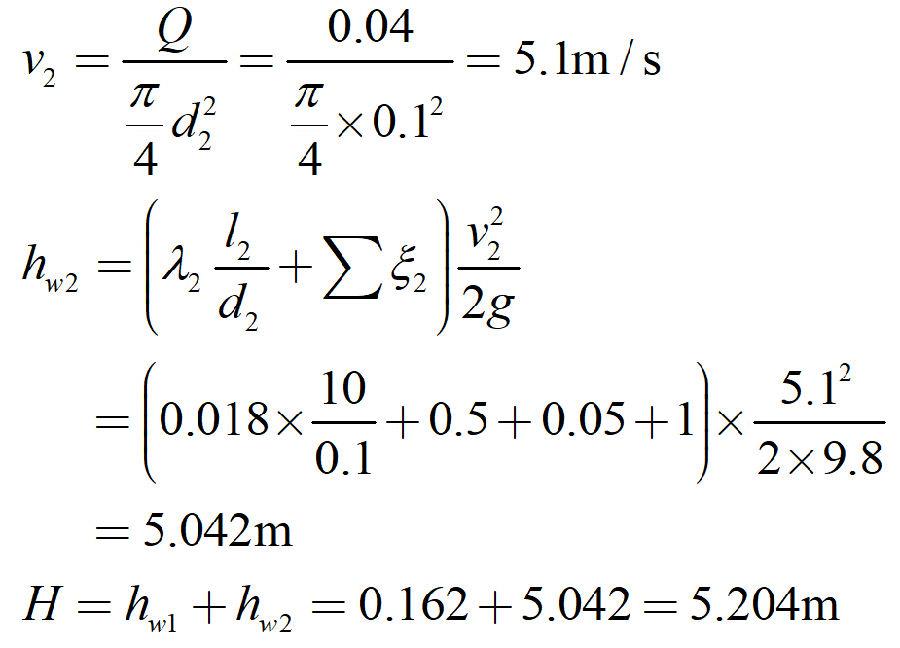
C.5.204m
-
D.6.123m
正确答案及解析
正确答案
C
解析
对两水箱水面写能量方程可得:

1-3管段中的流速为:

4-6管段中的流速

你可能感兴趣的试题
-
单选题

-
- A.Ⅰ、Ⅲ
- B.Ⅱ、Ⅳ、Ⅴ
- C.Ⅰ、Ⅲ、Ⅳ
- D.Ⅲ、Ⅵ
- 查看答案
-
单选题

-
- A.0.20m
- B.0.11m
- C.0.09m
- D.0.05m
- 查看答案
-
单选题

-
- A.2265
- B.1053
- C.800
- D.283
- 查看答案
-
单选题

-
- A.281mm
- B.325mm
- C.350mm
- D.400mm
- 查看答案
-
单选题

-
- A.14.0
- B.30.9
- C.36.4
- D.41.6
- 查看答案