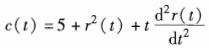
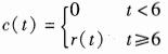
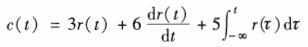
下列哪个方程表示的系统为非线性系统?( )。
-
A.
-
B.
-
C.
-
D.
正确答案及解析
正确答案
A
解析
A方程中,有变量的平方项,有系数是时间函数t,系统是非线性时变系统。B方程中,等式两边求导一次,方程是线性常微分方程,系统是线性定常系统。C方程中,只有系数是时间函数t,系统是线性时变系统。D方程中,有系数与时间函数t有关,线性时变系统,分段时不变系统。
包含此试题的试卷
你可能感兴趣的试题

-
- A.<img src='http://tp.mxqe.com/data/746/13587409_0_1.jpg' alt='基础知识(给排水),章节冲刺,工程科学基础' title='基础知识(给排水),章节冲刺,工程科学基础'>
- B.<img src='http://tp.mxqe.com/data/746/13587409_0_2.jpg' alt='基础知识(给排水),章节冲刺,工程科学基础' title='基础知识(给排水),章节冲刺,工程科学基础'>
- C.<img src='http://tp.mxqe.com/data/746/13587409_0_3.jpg' alt='基础知识(给排水),章节冲刺,工程科学基础' title='基础知识(给排水),章节冲刺,工程科学基础'>
- D.<img src='http://tp.mxqe.com/data/746/13587409_0_4.jpg' alt='基础知识(给排水),章节冲刺,工程科学基础' title='基础知识(给排水),章节冲刺,工程科学基础'>
- 查看答案

-
- A.3.4
- B.4.2
- C.4.9
- D.6.1
- 查看答案

-
- A.1/3
- B.1/2
- C.2/3
- D.1
- 查看答案

-
- A.18
- B.15
- C.10.9
- D.9
- 查看答案

-
- A.对理想流体,该测压管水头线(Hp线)应该沿程无变化
- B.该图是理想流体流动的水头线
- C.对理想流体,该总水头线(H0线)沿程无变化
- D.该图不适用于描述实际流体的水头线
- 查看答案