(2016年)已知某基金最近三年来每年的收益率分别为25%、10%和-15%,那么应用几何平均收益率计算的该基金的年平均收益率应为()。
- A.5.34%
- B.7.89%
- C.2.71%
- D.6.67%
正确答案及解析
正确答案
A
解析
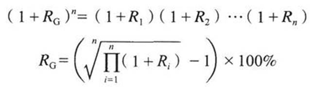
根据几何平均收益率(RG)的计算公式为:

可得(1+RG)3=(1+25%)×(1+10%)×(1-15%),RG≈5.34%。
你可能感兴趣的试题
(2017年真题)我国基金信息披露的制度体系由( )组成。
Ⅰ.国家法律
Ⅱ.部门规章
Ⅲ.规范性文件
Ⅳ.自律性规则
-
- A.Ⅰ、Ⅱ、Ⅲ
- B.Ⅰ、Ⅱ、Ⅳ
- C.Ⅱ、Ⅲ、Ⅳ
- D.Ⅰ、Ⅱ、Ⅲ、Ⅳ
- 查看答案
(2016年真题)封闭式基金交易报价最小变动单位是( )元人民币。
-
- A.0.0001
- B.0.001
- C.0.01
- D.0.1
- 查看答案
基金合同特别约定的事项不包括( )。
-
- A.基金运作方式
- B.基金当事人的权利和义务
- C.基金持有人大会的召集、议事及表决的程序和规则
- D.基金合同终止的事由、程序及基金财产的清算方式
- 查看答案
下列关于发起式基金的表述,不正确的是( )。
-
- A.持有期限不少于3年
- B.基金合同生效3年后,若基金资产净值低于2亿元,基金合同自动终止
- C.发起资金的持有期限自该基金公开发售之日或者合同生效之日孰晚日起计算
- D.基金管理人在募集基金时,使用公司股东资金、公司固有资金、公司高级管理人员或者基金经理等人员资金认购基金的金额不少于2000万元人民币
- 查看答案
下列基金类型中投资风险最低的是( )。
-
- A.指数基金
- B.债券基金
- C.股票基金
- D.货币市场基金
- 查看答案