已知总体分布为正态,方差为100。从这个总体中随机抽取样本容量为16的样本,样本平均数为60,那么总体均值 的99%的置信区间为
- A.[50.10,69.90]
- B.[53.55,66.45]
- C.[56.08,63.92]
- D.[55.10,64.90]
正确答案及解析
正确答案
B
解析
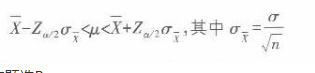
本题考查的是总体平均数的估计方法。当总体方差已知时,若总体分布为正态,或者总体分布为非正态,但样本容量超过30,置信区间的公式是

将本题中各项数据代入,则求得置信区间为[ 53.55,66.45]。


