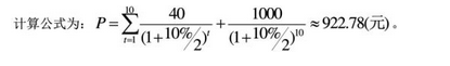
某面值为1000元的5年期债券,到期收益率为10%,每半年付息1次。如果息票率为8%,那么,该债券当前的内在价值为()。
- A.1077.20元
- B.1075.80元
- C.924.16元
- D.922.78元
正确答案及解析
正确答案
解析

包含此试题的试卷
你可能感兴趣的试题
2015年8月9日,甲市运输管理处的执法人员在甲市天长西路路面稽查时发现,B市赵军驾驶小型货车,前往乙地运货,车上载有60箱雪碧。执法人员俞某、王某将其拦下,并告知其身份、出示执法证件。经现场检查,赵军当场无法出示道路运输驾驶员货物从业资格证件。执法人员当场作出了扣押其运输车辆的决定,当事人赵军强烈反抗,阻止执法人员扣留其车辆的行为,致使一名执法人员轻微伤。8月10日,该运输管理处依据《道路运输从业人员管理规定》第48条第1款的规定,作出了给予赵军罚款人民币2000元的行政处罚。甲市运输管理处扣押赵军车辆的行为属于:( )
-
- A.行政强制措施
- B.行政强制执行
- C.行政处罚措施
- D.行政保管措施
- 查看答案
养老命题已经横亘在中国社会发展的路径之中,不容轻视。去哪里养老?让谁养老?与庞大的老年群体相比,养老服务业的发展并不乐观。据调查,目前我国的养老机构能为老人提供的养老服务寥寥无几。大部分的养老,还依然托付于忙碌着生计的子女,甚至依靠尚有劳动力的老伴、老友。虽然社会保障网渐织渐密,不少地方也出台诸多政策,借助民间力量,鼓励家庭养老,但这还远远不够。养老服务这个“朝阳产业”,何时能解“夕阳焦虑”?近年,随着我国老龄化社会的加剧,养老问题越发受到重视。在政策层面,国家出台了《国务院关于加快发展养老服务业的若干意见》等一系列文件来指导养老服务领域的发展。2015年11月初,国家全面放开二孩生育,社会对于“人口老龄化”“养老”等问题的讨论再次转热。政府作为国家权力的执行机关,更应重视“边富边老”这一社会问题,责无旁贷地以主导者身份,在充分尊重和发挥市场规律的前提下引导市场,努力构建良性的政社关系,确保社会、经济同步发展,满足日益扩大的养老需求。养老服务社会化是解决养老问题的重要途径。下列不属于政府在养老服务社会化的进程中可能出现的政策、监管方面的问题的是:( )
-
- A.在征集养老服务商时缺乏相应的政策宣传力度、公开征集手段、补贴政策透明性,一定程度造成企业的非平等竞争
- B.准入退出标准和监管的滞后性,导致认定的服务商良莠不齐,调整变动频繁
- C.养老服务商的服务能力与老年人对服务的预期之间的差距
- D.为加大惠民力度,一定程度存在行政职权介入、成本转嫁给企业等现象
- 查看答案
2015年1月15日,兰某与黄某二人到金水桥游览。二人手里拿着矿泉水来到金水桥,兰某突然不知被什么东西绊倒,矿泉水随之脱落。黄某见状上前去捡那瓶矿泉水,不小心又被兰某绊倒。此时,两名特警就将黄某、兰某二人扶拉起来,接着民警就将二人带上警车,拉到天安门地区分局,后二人被处以行政拘留处罚。天安门地区分局对二人作出了治安管理处罚后,兰某表示不服,认为天安门地区分局做出的行政拘留处罚认定事实胡编乱造,且自己跌倒的行为构不成现场混乱,不属于扰乱公共场所秩序的行为,并且认为天安门地区分局的行为是非法拘禁,侵犯了自己的人身权。兰某认为天安门地区分局的行为构成非法拘禁,对其人身权造成了侵害。下列关于非法拘禁说法正确的是:( )
-
- A.非法拘禁罪侵害的客体是他人的人身自由权利
- B.对于认定非法拘禁罪的方法方式有着明确的限制,即非法拘禁的方式必须是强制性的
- C.非法拘禁罪的主体为国家机关工作人员
- D.构成非法拘禁罪在主观方面是出于故意,并且具有非法剥夺他人人身自由的目的,为索取债务而非法拘禁他人的,不构成本罪
- 查看答案
唐一、孙二与朱三、沙四两家因甲县乙乡丙村集体土地承包经营权发生纠纷,双方均认为对争议的集体土地享有承包经营权,朱三和沙四一直要求唐一拆除其在争议土地东侧所建的两间瓦房、猪圈和厕所。2015年5月21日上午,朱三到唐一自建的瓦房前,要求唐一拆除房屋,唐一不同意,双方发生争吵,朱三便拿放在瓦房门口的铁锹顶坏了房顶上的瓦片,唐一上前阻止,并与其厮打在一起,后孙二、沙四相继赶到,加入到厮打中。行政机关根据各方过错程度作出了不同的行政处罚:给予唐一行政拘留5日、孙二行政拘留3日、朱三行政拘留3日、沙四行政拘留9日的处罚。如果本案的一方当事人欲对该行政拘留决定提起行政复议,则可以向( )提起。
-
- A.甲县公安局
- B.甲县人民政府
- C.甲县司法局
- D.乙乡人民政府
- 查看答案
下列关于本公文发文机关署名和成文日期的编排,表述正确的是:( )-
- A.成文日期中的数字应该用阿拉伯数字
- B.成文日期应右空2字
- C.发文机关署名应该删去
- D.发文机关只用署名“××省委办公厅”即可
- 查看答案